La Dra. Patricia Tissera, Directora del Centro de Astrofísica y Tecnologías Afines (CATA) participa como codirectora en una innovadora incorporación de herramientas de filogenética en la astronomía.
La astronomía en Chile sigue evolucionando y abriendo nuevos campos de conocimiento. En este contexto, la Dra. Patricia Tissera, Directora del Centro de Astrofísica y Tecnologías Afines (CATA) y académica de la Pontificia Universidad Católica de Chile, colidera junto a la astrónoma Paula Jofré una iniciativa pionera a nivel internacional: la incorporación de herramientas de filogenética al estudio de la evolución de las galaxias. Este enfoque vanguardista, desarrollado en el marco del Núcleo Milenio ERIS, ha permitido construir árboles evolutivos de estrellas, proporcionando una novedosa forma de interpretar la historia del universo. En esta línea de trabajo confluyen astronomía, biología, matemáticas e informática, dando lugar a un esfuerzo interdisciplinario que promete revolucionar los métodos tradicionales de análisis en astrofísica.
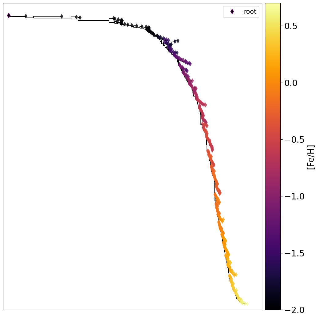
La filogenética, ampliamente utilizada en biología para reconstruir relaciones evolutivas entre especies, se adapta de forma natural a la astronomía cuando se considera que los elementos químicos más pesados que el He (Helio) se generan en el interior de las estrellas y luego se dispersan en el medio interestelar a través de eventos como las supernovas. Las nuevas estrellas, al formarse, heredan esas composiciones químicas, perpetuando un proceso evolutivo observable y cuantificable.
“Las simulaciones numéricas nos permiten describir la evolución de galaxias, las propiedades del gas y las estrellas que las componen, y seguir su historia en diferentes ecosistemas galácticos. De esta manera, es posible aplicar las herramientas de la filogenética e interpretar los resultados teniendo en cuentas las diferentes historias de formación”, explica la Directora del CATA.
A través de estas simulaciones es posible trazar líneas de herencia y evolución similares a las que se estudian en biología, pero aplicadas a estructuras astronómicas.
Instituciones como CATA y ERIS se encuentran desarrollando herramientas que permitirán aplicar estos conceptos filogenéticos a observaciones reales, especialmente en la Vía Láctea, el laboratorio más accesible para estudiar estrellas individuales y sus propiedades químicas con alta precisión.
“Nos enfocamos en reconstruir la evolución de la Vía Láctea, porque es el mejor laboratorio, donde es posible observar estrellas individuales y determinar sus propiedades como las abundancias químicas con alta precisión. Para ello, simulamos la evolución de galaxias, donde conocemos su historia y podemos estudiar los diferentes procesos físicos y su impacto en las distribución de elementos químicos. Estas técnicas son también aplicadas a observaciones en nuestra galaxia que nos permiten explorar la Vía Láctea y, nos ayuda a comprobar y mejorar la teoría de la evolución galáctica”, enfatiza la Dra. Tissera.
El rol del CATA en esta innovación
Si bien el desarrollo conceptual y metodológico de la filogenética galáctica corresponde a ERIS, el CATA ha sido un aliado clave en la consolidación de esta nueva línea de investigación. La contribución del Centro se ha materializado en dos frentes fundamentales: apoyo formativo y soporte técnico.
Por un lado, CATA ha cofinanciado a estudiantes de pre y posgrado de las universidades Católica (UC) y Diego Portales (UDP), quienes han desarrollado proyectos vinculados directamente a la filogenética galáctica, participando activamente en investigaciones que ya han dado frutos concretos, como tesis premiadas y artículos en revisión.
Por otra parte, CATA ha aportado al desarrollo de la infraestructura informática del Núcleo de Astrofísica de la UDP, facilitando el trabajo de los equipos científicos que requieren capacidades computacionales avanzadas para ejecutar simulaciones numéricas de alta complejidad. La Directora del CATA destacó el trabajo colaborativo para la aplicación de estas herramientas.
“La filogenética galáctica representa el potencial de la interdisciplinariedad. Pues requirió combinar conceptos y técnicas de diferentes áreas de la astronomía, matemática, informática y biología. La inmensa base de datos astronómicos de alta precisión requiere ser creativos e innovadores para encontrar y desarrollar nuevas herramientas y conceptos, estableciendo un diálogo fluido con otras ciencias. La ciencia de vanguardia requiere establecer colaboraciones constructivas que permitan desarrollar todo el potencial de los individuos y la utilización óptima de los recursos”, enfatiza la Dra. Tissera.
Esta iniciativa no sólo refuerza el carácter interdisciplinario de la astrofísica moderna, sino que también, posiciona a Chile como un referente internacional en innovación metodológica dentro del campo. La filogenética galáctica representa una nueva manera de interpretar el universo, donde la historia de las galaxias podría reconstruirse utilizando las abundancias químicas como ADN cósmico.




