Dr. Patricia Tissera, Director of the Center for Astrophysics and Related Technologies (CATA) participates as co-director in an innovative incorporation of phylogenetic tools in astronomy.
Astronomy in Chile continues to evolve and open new fields of knowledge. In this context, Dr. Patricia Tissera, Director of the Center for Astrophysics and Related Technologies (CATA) and academic of the Pontificia Universidad Católica de Chile, co-leads together with astronomer Paula Jofré a pioneering initiative at international level: the incorporation of phylogenetic tools to the study of galaxy evolution. This avant-garde approach, developed within the framework of the ERIS Millennium Nucleus, has made it possible to construct evolutionary trees of stars, providing a novel way of interpreting the history of the universe. This line of work brings together astronomy, biology, mathematics and computer science, giving rise to an interdisciplinary effort that promises to revolutionize traditional methods of analysis in astrophysics.
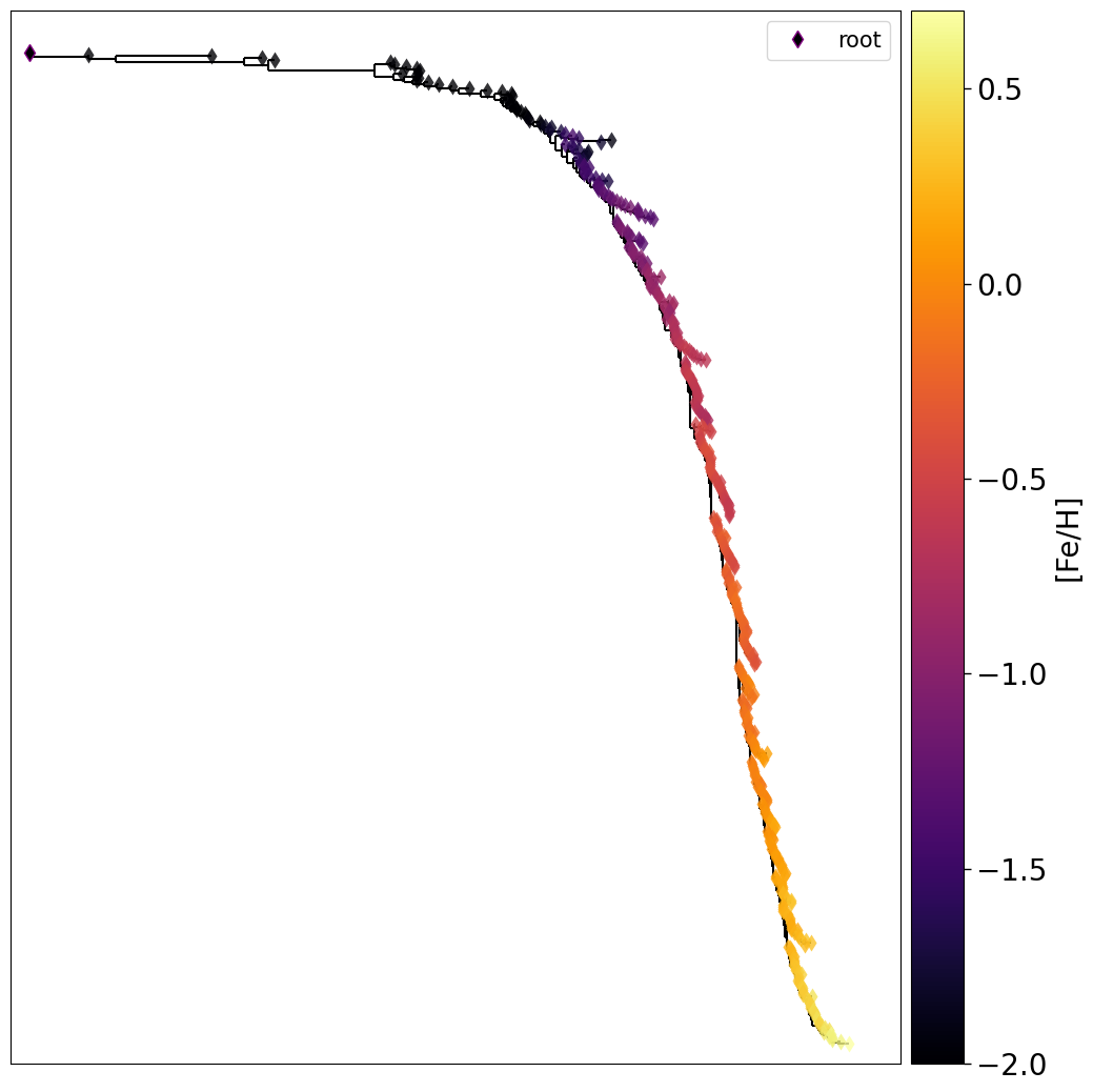
Phylogenetics, widely used in biology to reconstruct evolutionary relationships between species, is naturally adapted to astronomy when one considers that chemical elements heavier than He (Helium) are generated in the interior of stars and then dispersed into the interstellar medium through events such as supernovae. New stars, upon formation, inherit these chemical compositions, perpetuating an observable and quantifiable evolutionary process.
“Numerical simulations allow us to describe the evolution of galaxies, the properties of the gas and stars that compose them, and to follow their history in different galactic ecosystems. In this way, it is possible to apply the tools of phylogenetics and interpret the results taking into account the different formation histories,” explains the CATA Director.
Through these simulations it is possible to trace lines of inheritance and evolution similar to those studied in biology, but applied to astronomical structures.
Institutions such as CATA and ERIS are developing tools that will allow these phylogenetic concepts to be applied to real observations, especially in the Milky Way, the most accessible laboratory for studying individual stars and their chemical properties with high precision.
“We focus on reconstructing the evolution of the Milky Way, because it is the best laboratory, where it is possible to observe individual stars and determine their properties such as chemical abundances with high precision. To do this, we simulate the evolution of galaxies, where we know their history and can study the different physical processes and their impact on the distribution of chemical elements. These techniques are also applied to observations in our galaxy that allow us to explore the Milky Way and help us to test and improve the theory of galactic evolution,” emphasizes Dr. Tissera.
CATA’s role in this innovation
Although the conceptual and methodological development of galactic phylogenetics corresponds to ERIS, CATA has been a key ally in the consolidation of this new line of research. The Center’s contribution has materialized on two fundamental fronts: training support and technical support.
On the one hand, CATA has co-funded undergraduate and graduate students from the Catholic University (UC) and Diego Portales University (UDP), who have developed projects directly linked to galactic phylogenetics, actively participating in research that has already yielded concrete results, such as award-winning theses and articles under review.
On the other hand, CATA has contributed to the development of the computer infrastructure of the Astrophysics Nucleus of the UDP, facilitating the work of scientific teams that require advanced computational capabilities to run highly complex numerical simulations. The CATA Director highlighted the collaborative work for the application of these tools.
“Galactic phylogenetics represents the potential of interdisciplinarity. For it required combining concepts and techniques from different areas of astronomy, mathematics, computer science and biology. The immense database of high-precision astronomical data requires being creative and innovative to find and develop new tools and concepts, establishing a fluid dialogue with other sciences. Cutting-edge science requires constructive collaborations to develop the full potential of individuals and the optimal use of resources,” emphasizes Dr. Tissera.
This initiative not only reinforces the interdisciplinary character of modern astrophysics, but also positions Chile as an international reference in methodological innovation within the field. Galactic phylogenetics represents a new way of interpreting the universe, where the history of galaxies could be reconstructed using chemical abundances as cosmic DNA.




